河北地质大学2019年MBA复试分数线
MBA新闻网
2019年03月27日
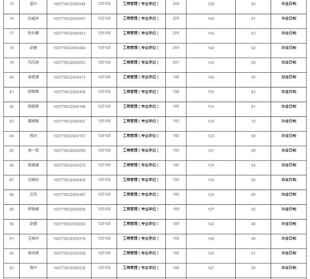
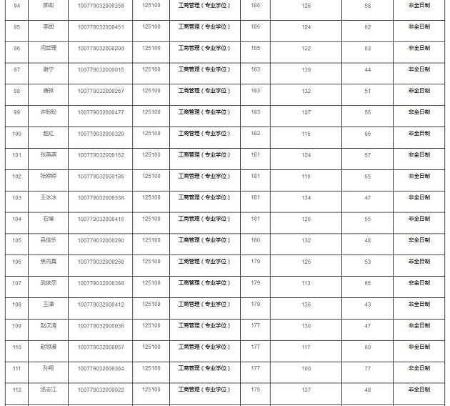
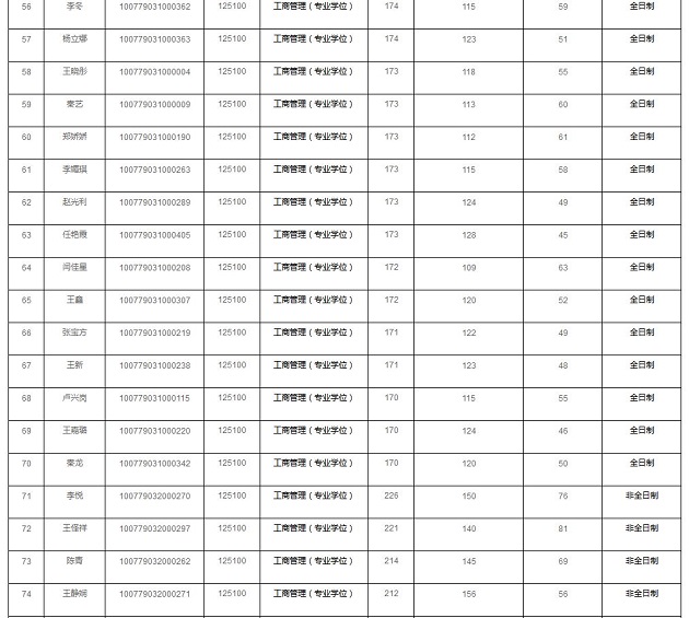
河北地质大学2019年工商管理硕士一志愿复试名单
根据河北地质大学2019年硕士研究生招生复试考生名单,进入工商管理专业复试的初试成绩基本要求为:总分170。
附件: 河北地质大学2019年工商管理硕士一志愿复试名单
版权声明:本文内容整理自河北地质大学研究生院,如有侵权请电话联系17800253047。
更多院校MBA项目招生信息请戳链接:http://yuanxiao.mbanews.net/
相关推荐
大连海事大学2020年MBA复试分数线
复试分数线 05月29日
湖南工商大学2023年MBA复试分数线
湖南工商大学2023年硕士研究生招生考试考生进入复试的初试成绩基本要求已公布!2023年MBA复试分数线:167/41/82。
复试分数线 04月10日
武汉大学2024年MBA复试分数线
武汉大学2024年MBA复试分数线为:162/39/78
复试分数线 03月15日
苏州大学2024年MBA复试分数线
根据苏州大学2024年硕士研究生招生复试录取工作办法,苏州大学2024年MBA复试分数线162/39/78
复试分数线 03月27日
厦门大学2024年MBA复试分数线
根据厦门大学2024年硕士研究生复试基本分数线的通知,厦门大学2024年MBA复试分数线:162/39/78
河北经贸大学2024年MBA复试分数线
根据河北经贸大学2024年硕士研究生复试录取方案,河北经贸大学2024年MBA复试分数线为162/39/78
复试分数线 03月26日